污水流量計量表,污水處理廠出水流量計
點擊次數:2724 發布時間:2020-12-24 06:09:22
污水流量計量表產品概述
電磁流量計連接方式有法蘭式,螺紋連接式和卡箍式連接。它特別設計了帶背光寬溫的中文液晶顯示器,功能齊全實用、顯示直觀、操作使用方便,可以減少其他電磁流量計英文菜單所帶來的不便。另外我們**設計4-6多電極結構,進一步保證了測量精度并且任何時候無需接地環,減輕了儀表體積和安裝維護的麻煩。LDE電磁流量計精度通常為0.5級,故障率低,是測量液體介質*先流量儀表。

污水流量計量表特點
電磁流量計由傳感器和轉換器兩部分組成,被測流體介質電導率≥ 5μS/cm。
本產品采用當前電磁流量計的*新技術制造,具有以下特點:
1、測量管內無阻力及活動部件,因此無壓力損失,是一種典型的節能儀表。
2、由于感應信號是在整個充滿磁場的空間形成,它與管道截面上流速的平均值成正比。因此,對管道內流速分布不敏感,要求流量計上、下游的直管段相對其它流量計短。
3、測量不受流體密度、粘度、溫度、壓力和電導率變化的影響。
4、合理地選擇電極及襯里材料,能夠達到測量各種腐蝕性、耐磨性導電介質的使用要求。
5、轉換器采用新穎的勵磁方式,功耗低,零點穩定,測量精度高,適于生產過程流量檢測和總量計量。流量測量范圍可達1500:1。
6、流量計具有自動流向鑒別,能測量雙向流。具有電流、頻率、脈沖和RS485數字通訊輸出。還有流量上下限報警和故障報警功能。
7、流量計能顯示瞬時流量、流速、流量百分比、正反累積流量、差值流量,方便讀數。內有三級密碼設置功能,防止數據被隨意更改。
8、轉換器采用3行128×64帶背光LCD點陣簡體漢字顯示,參數設置方便。并具有FROM存貯設置參數和累計流量值,具有掉電保護功能。
9、轉換器采用表面安裝技術(SMT),具有自檢與自診斷功能,可靠性高。
10、具有適合滿足現場環境條件安裝的防爆型、沉浸型、衛生型、分體型和一體型結構。
污水流量計量表主要用途
電磁流量計廣泛用于化工、礦冶、給排水、造紙、醫藥、食品、石化、電力、輕工、農用灌溉、水利等行業的管道中,導電液體和漿液的體積流量的測量。

污水流量計量表正常工作條件
1、環境溫度: 傳感器 -25℃~+60℃;轉換器 -10℃~+60℃
2、相對濕度: 5%~90%;
3、供電電源:交流供電:頻率47~63Hz;電壓85~260V;諧波成分不大于5%;直流供電:18~36V,紋波5%。
4、功率: 小于20W。
污水流量計量表工作原理
傳感器是根據法拉*電磁感應定律工作的,如工作原理圖所示:

當導電液體沿測量管在交變磁場與磁力線成垂直方向運動時,導電液體切割磁力線產生感應電勢。在與測量管軸線和磁力線相互垂直的管壁上安裝了一對檢測電極,將這個感應電勢檢出。
則有:
E=BVD
式中:E—感應電勢;
B—磁感應強度;
D —電極間的距離,與測量管內徑相等;
V —測量管內被測流體的平均流速。
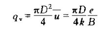
式(1)中磁場B是恒定不變的,D為一常數,則感應電動勢E與被測流體的平均流速V成正比。通過測量管橫截面上的瞬時體積流量Q與流速V之間的關系為:

污水流量計量表型式及結構
按用途分類
2、按組合型式分類
按轉換器和傳感器的組合型式分類有:分體型和一體型。
3、主要結構
電磁流量計由傳感器和轉換器兩部分組成(如下圖所示)。
傳感器主要由測量管、電極、勵磁線圈、絕緣襯里、殼體等部分組成。

污水流量計量表技術性能指標
1、執行標準:JB/T9248-1999;
2、公稱通徑(mm):DN10、15、20、25、32、40、50、65、80、100、125、150、200、250、300、350、400、450、500、600、700、800、900、1000、1200、1400、1600、1800、2000;
3、*高測量流速:10m/s;
4、精度表
5、流體電導率:≥ 5μS/cm;
6、公稱壓力:DN10~DN50 4.0MPa;DN65~DN150 1.6MPa;DN200~DN1000 1.0MPa;DN1200~DN2000 0.6MPa。
7、*高流體溫度
8、襯里材料:聚四氟乙烯(PTFE) 氯丁橡膠 聚氨酯 聚全氟乙丙烯(F46) 聚氯合乙烯(FS)。
9、電極材料:不銹鋼、0Cr18Ni12Mo2Ti、哈氏合金B(Hb)、哈氏合金C(Hc)、鈦(Ti)、鉭(Ta)、鉑/銥合金(Pa)
10、外殼防護等級:IP65、IP68
11、防爆標志:一體型、DN10~DN600 mdⅡBT4;分體型、DN10~DN1200 mⅡBT4
12、供電電源:電壓220VAC 50Hz; 24VDC
13、分體型:傳感器與轉換器的距離 一般不超過100m。超過100m時,應特殊訂貨。
污水流量計量表安裝地點的選擇
為了使變送器工作可靠穩定,在選擇安裝地點時應注意以下幾個方面的要求:
⑴盡量避開鐵磁性物體及具有強電磁場的設備(如大電機、大變壓器的等),以免磁場影響傳感器的工作磁場和流量信號。
⑵應盡量安裝在干燥通風之處,不宜在潮濕、易積水的地方安裝。
⑶應盡量避免日曬雨淋,避免環境溫度高于60℃及相對濕度大于95%。
⑷選擇便于維修,活動方便的地方。
⑸流量計應安裝在水泵后端,決不能在抽吸側安裝;閥門應安裝在流量計的下游側。
污水流量計量表安裝要求
為了準確計量,在選擇安裝位置時應注意以下幾點要求:
⑴ 傳感器既可在垂直管道上安裝,也可以在水平或傾斜管道上安裝,但要求二電極的中心連線處于水平狀態。
⑵ 介質在管道中應滿管流動,避免由氣穴而產生電極斷路。
⑶ 對于液固兩相流體,*好采用垂直安裝,使傳感器襯里磨損均勻,延長使用壽命。
⑷ 在流量計安裝位置介質不滿管時,可采取抬高流量半后端管路的方法,使其滿管,嚴禁在管道*高點和出水口安裝流量計。(見圖)

⑸修改管道的安裝方法:當介質流速達不到要求時,應當選用較小口徑的流量計,這時應使用異徑錐管或修改部分管道,使其與傳感器同口徑,但要保證前后直管段長度。
⑹前后直管段為流量計前≥5DN,后端≥2DN。
電磁流量計連接方式有法蘭式,螺紋連接式和卡箍式連接。它特別設計了帶背光寬溫的中文液晶顯示器,功能齊全實用、顯示直觀、操作使用方便,可以減少其他電磁流量計英文菜單所帶來的不便。另外我們**設計4-6多電極結構,進一步保證了測量精度并且任何時候無需接地環,減輕了儀表體積和安裝維護的麻煩。LDE電磁流量計精度通常為0.5級,故障率低,是測量液體介質*先流量儀表。

污水流量計量表特點
電磁流量計由傳感器和轉換器兩部分組成,被測流體介質電導率≥ 5μS/cm。
本產品采用當前電磁流量計的*新技術制造,具有以下特點:
1、測量管內無阻力及活動部件,因此無壓力損失,是一種典型的節能儀表。
2、由于感應信號是在整個充滿磁場的空間形成,它與管道截面上流速的平均值成正比。因此,對管道內流速分布不敏感,要求流量計上、下游的直管段相對其它流量計短。
3、測量不受流體密度、粘度、溫度、壓力和電導率變化的影響。
4、合理地選擇電極及襯里材料,能夠達到測量各種腐蝕性、耐磨性導電介質的使用要求。
5、轉換器采用新穎的勵磁方式,功耗低,零點穩定,測量精度高,適于生產過程流量檢測和總量計量。流量測量范圍可達1500:1。
6、流量計具有自動流向鑒別,能測量雙向流。具有電流、頻率、脈沖和RS485數字通訊輸出。還有流量上下限報警和故障報警功能。
7、流量計能顯示瞬時流量、流速、流量百分比、正反累積流量、差值流量,方便讀數。內有三級密碼設置功能,防止數據被隨意更改。
8、轉換器采用3行128×64帶背光LCD點陣簡體漢字顯示,參數設置方便。并具有FROM存貯設置參數和累計流量值,具有掉電保護功能。
9、轉換器采用表面安裝技術(SMT),具有自檢與自診斷功能,可靠性高。
10、具有適合滿足現場環境條件安裝的防爆型、沉浸型、衛生型、分體型和一體型結構。
污水流量計量表主要用途
電磁流量計廣泛用于化工、礦冶、給排水、造紙、醫藥、食品、石化、電力、輕工、農用灌溉、水利等行業的管道中,導電液體和漿液的體積流量的測量。

污水流量計量表正常工作條件
1、環境溫度: 傳感器 -25℃~+60℃;轉換器 -10℃~+60℃
2、相對濕度: 5%~90%;
3、供電電源:交流供電:頻率47~63Hz;電壓85~260V;諧波成分不大于5%;直流供電:18~36V,紋波5%。
4、功率: 小于20W。
污水流量計量表工作原理
傳感器是根據法拉*電磁感應定律工作的,如工作原理圖所示:

當導電液體沿測量管在交變磁場與磁力線成垂直方向運動時,導電液體切割磁力線產生感應電勢。在與測量管軸線和磁力線相互垂直的管壁上安裝了一對檢測電極,將這個感應電勢檢出。
則有:
E=BVD
式中:E—感應電勢;
B—磁感應強度;
D —電極間的距離,與測量管內徑相等;
V —測量管內被測流體的平均流速。
式(1)中磁場B是恒定不變的,D為一常數,則感應電動勢E與被測流體的平均流速V成正比。通過測量管橫截面上的瞬時體積流量Q與流速V之間的關系為:

污水流量計量表型式及結構
按用途分類
| 種類 | 用途 |
| 普通型 | 在通常環境下使用 |
| 防爆型 | 在爆炸性氣體的環境下使用 |
| 衛生型 | 使用在有衛生要求的條件下 |
| 沉浸型 | 符合GB4208防護等級IP68 |
按轉換器和傳感器的組合型式分類有:分體型和一體型。
3、主要結構
電磁流量計由傳感器和轉換器兩部分組成(如下圖所示)。
傳感器主要由測量管、電極、勵磁線圈、絕緣襯里、殼體等部分組成。

污水流量計量表技術性能指標
1、執行標準:JB/T9248-1999;
2、公稱通徑(mm):DN10、15、20、25、32、40、50、65、80、100、125、150、200、250、300、350、400、450、500、600、700、800、900、1000、1200、1400、1600、1800、2000;
3、*高測量流速:10m/s;
4、精度表
| 通徑(mm) | 流速(m/s) | 基本誤差 |
| DN10,15,700~2000 | ≥1m/s | ±0.5%R |
| <1m/s | ±3mm/s | |
| DN20~600 | ≥1m/s | ±0.3%R |
| <1m/s | ±2mm/s |
6、公稱壓力:DN10~DN50 4.0MPa;DN65~DN150 1.6MPa;DN200~DN1000 1.0MPa;DN1200~DN2000 0.6MPa。
7、*高流體溫度
| 襯里材料 | 分體型 | 一體型 |
| 聚四氟乙烯(PTFE) | 100℃;特殊訂貨150℃ | 70℃ |
| 氯丁橡膠 | 70℃;特殊訂貨120℃ | |
| 聚全氟乙丙烯(F46) | 100℃ | |
| 聚氯合乙烯(FS) | 80℃ | |
| 聚氨酯 | 45℃;80℃訂貨時注明 |
9、電極材料:不銹鋼、0Cr18Ni12Mo2Ti、哈氏合金B(Hb)、哈氏合金C(Hc)、鈦(Ti)、鉭(Ta)、鉑/銥合金(Pa)
10、外殼防護等級:IP65、IP68
11、防爆標志:一體型、DN10~DN600 mdⅡBT4;分體型、DN10~DN1200 mⅡBT4
12、供電電源:電壓220VAC 50Hz; 24VDC
13、分體型:傳感器與轉換器的距離 一般不超過100m。超過100m時,應特殊訂貨。
污水流量計量表安裝地點的選擇
為了使變送器工作可靠穩定,在選擇安裝地點時應注意以下幾個方面的要求:
⑴盡量避開鐵磁性物體及具有強電磁場的設備(如大電機、大變壓器的等),以免磁場影響傳感器的工作磁場和流量信號。
⑵應盡量安裝在干燥通風之處,不宜在潮濕、易積水的地方安裝。
⑶應盡量避免日曬雨淋,避免環境溫度高于60℃及相對濕度大于95%。
⑷選擇便于維修,活動方便的地方。
⑸流量計應安裝在水泵后端,決不能在抽吸側安裝;閥門應安裝在流量計的下游側。
污水流量計量表安裝要求
為了準確計量,在選擇安裝位置時應注意以下幾點要求:
⑴ 傳感器既可在垂直管道上安裝,也可以在水平或傾斜管道上安裝,但要求二電極的中心連線處于水平狀態。
⑵ 介質在管道中應滿管流動,避免由氣穴而產生電極斷路。
⑶ 對于液固兩相流體,*好采用垂直安裝,使傳感器襯里磨損均勻,延長使用壽命。
⑷ 在流量計安裝位置介質不滿管時,可采取抬高流量半后端管路的方法,使其滿管,嚴禁在管道*高點和出水口安裝流量計。(見圖)

⑸修改管道的安裝方法:當介質流速達不到要求時,應當選用較小口徑的流量計,這時應使用異徑錐管或修改部分管道,使其與傳感器同口徑,但要保證前后直管段長度。
⑹前后直管段為流量計前≥5DN,后端≥2DN。


